در این فیلم آموزشی با فرمول محاسبه امتیاز بخش سازه پروژه انبوه سازی کوچک در مبحث یازدهم ویرایش 1400 آشنا خواهید شد حتما این ویدئو را تا انتها مشاهده کنید

این بسته شامل تمام ابزار های قبولی در آزمون اما با قیمت کمتر است!!
آموزش همه مباحث و منابع آزمون نظام مهندسی همراه با مشاوره و برنامه ریزی مطالعاتی با مشخصات زیر :
آخرین نسخه کلیدواژه جامع ( نظارت_اجرا) آزمون نظام مهندسی
لیبل های رنگی و چاپ شده مباحث آزمون نظام مهندسی برای دسترسی سریع به بخش های مختلف کتاب های مقررات ملی ساختمان
در این فیلم آموزشی الزامات سازه کسب شاخص صنعتی سازی پروژه غیر انبوه کوچک از مبحث یازدهم مقررات ملی ویرایش ۱۴۰۰ را قرار دادیم، ویرایش این مبحث به تازگی در سایت آزمون تغییر کرده است، پس حتما با دقت این ویدئو و ویدئو های دیگر این آموزش را نگاه کنید.
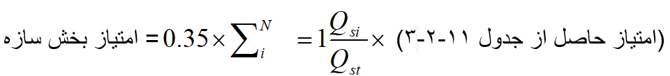
۱-۳-۵-۲-۱۱ امتیاز بخش سازه بر حسب نوع سازه، روش اجرایی و مساحت آن باید از رابطه زیر محاسبه شود.

به عنوان مثال، فرض کنید که مساحت کل زیر بنا (Qst) 1000 باشد. و دو سیستم سازه ای داریم. بر اساس جدول ۱۱-۲-۳؛ برای مساحت کل زیر بنا (۱۰۰۰ متر مربع) ستون و تیر/دیوار، ستون کامپوزیت و تیر پیش ساخته است. ولی ۵۰۰ متر آن دال بتنی پیش ساخته کار شده و ۵۰۰ متر بعدی کامپوزیت کار شده است.
برای دال بتنی پیش ساخته و ستون کامپوزیت و تیر پیش ساخته امتیاز ۸۵ را داریم، و برای سقف کامپوزیت و ستون کامپوزیت و تیر پیش ساخته ۷۰ امتیاز خواهیم داشت. پس N=2 هستش.

با مشاهده فیلم آموزشی با روند حل اینگونه سوالات در آزمون نظام مهندسی آشنا خواهید شد
موسس سایت آی سیویل و مدرس دوره های آزمون نظام مهندسی
ویژه آزمون نظارت و اجرا رشته عمران و معماری
تمامی ابزار های لازم برای قبولی در آزمون نظام مهندسی در این بسته با تخفیف ویژه ارائه شده است
بهار 1387 زمانی که وب فارسی چند کوچه و پس کوچه بیشتر نداشت سایت آی سیویل متولد شد و به نمایندگی از جامعه عمران و معماری شروع به کار کرد و به لطف کاربران تبدیل به مرجع معتبر مهندسی عمران و معماری شد .در سال 92 برای اولین بار روش کلیدواژه را در آزمون نظام مهندسی معرفی کردیم و ما همچنان به پشتوانه شما ادامه میدهیم…
وقت اعتراض رسید! ویژه آزمون نظام مهندسی دی 404 |